10 de diciembre de 2012
DISPOSICIÓN PROVINCIA DEL CHACO SOBRE TARIFA PARA GRANOS Y OLEAGINOSAS
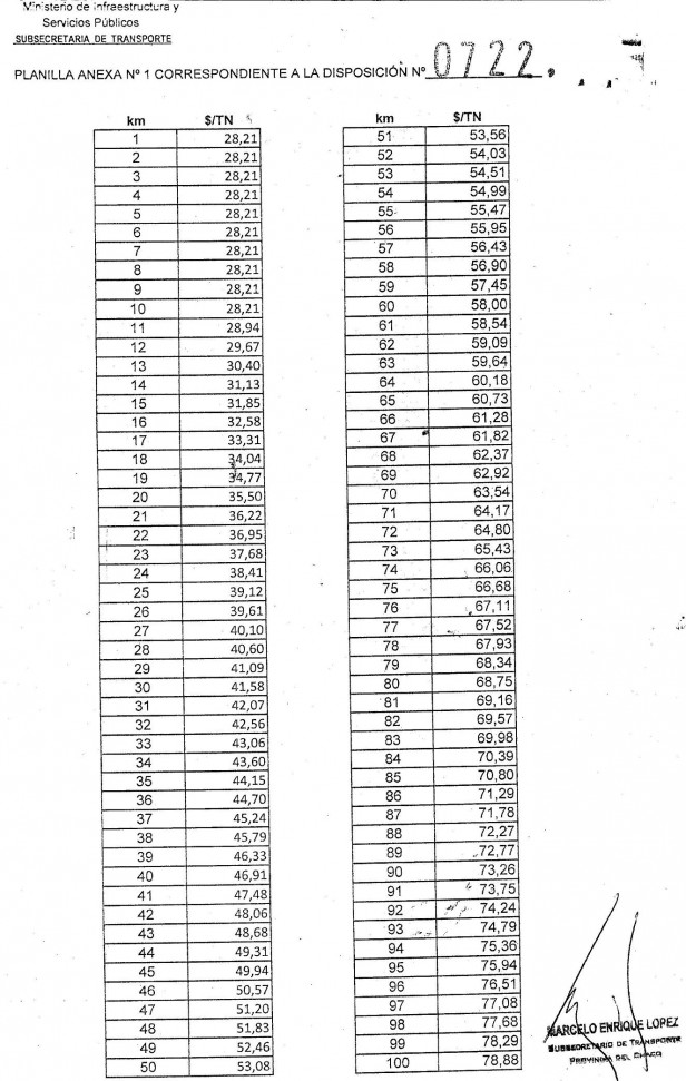
El Subsecretario de Transporte dispone Art. 1º: Adherir a la Disposición Nº 36/2012 y 37/2012 de la Subsecretaría de Transporte Automotor del Ministerio de Planificación Federal, Inversión Pública y Servicios de la Nación en lo atinente al cuadro tarifario indicativo establecido en dicha norma legal.
Leer más...
Mire la Disposición completa y el cuadro tarifario Haciendo click sobre el titulo de la nota.
COMPARTIR:
Notas Relacionadas
Comentarios
Aun no hay comentarios, sé el primero en escribir uno!

Seguinos